Started By
Message

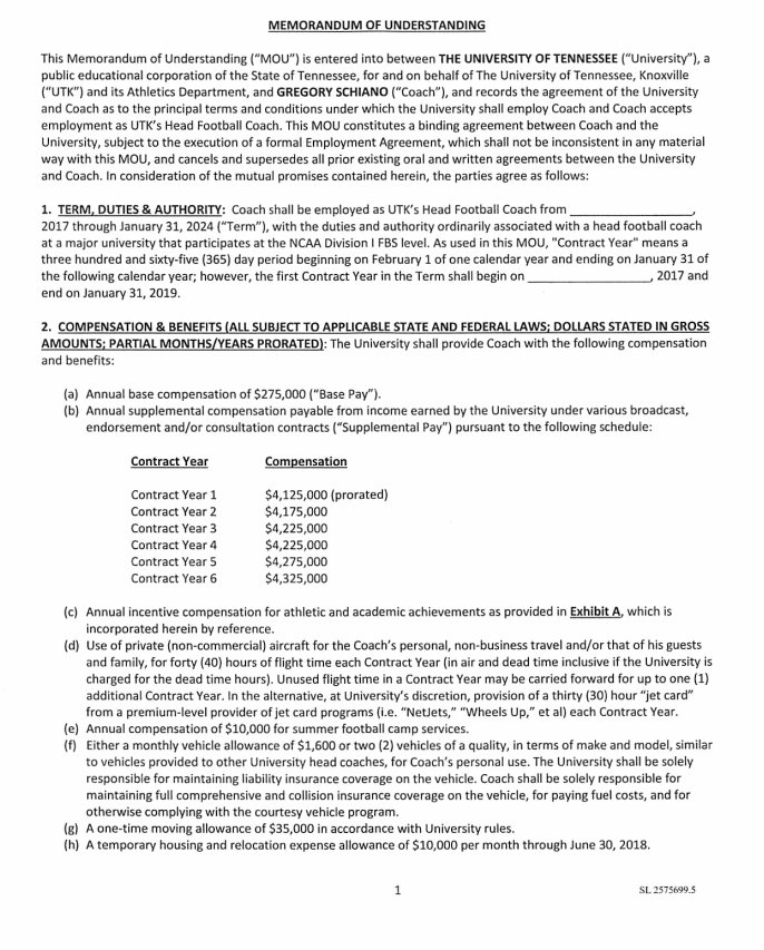
Here's a copy of the MOU. Greg Schiano is not going to get anything from VOLS lmao
Posted on 12/11/17 at 4:57 pm
Posted on 12/11/17 at 4:57 pm
quote:
Darren Rovell @darrenrovell Here's the memorandum of understanding between Greg Schiano and the University of Tennessee. School says it wasn't fully signed, so Schiano isn't owed anything. (Document from @knoxnews)
Posted on 12/11/17 at 5:01 pm to David Ricky
Is Currie getting his 5.5M or is there any truth to the rumor that instead of going to try and hire Leach that he was interviewing with his old boss out at WSU? Inquiring Minds!
Posted on 12/11/17 at 5:04 pm to fibonaccisquared
quote:
Is Currie getting his 5.5M or is there any truth to the rumor that instead of going to try and hire Leach that he was interviewing with his old boss out at WSU? Inquiring Minds!
Well Tennessee is trying to fire him cause and if that happens, he won't get any of the buyout either.
He was told to come back to Knoxville but instead stopped answering his phone and used a Kansas State booster's plane to go to WSU lol
Posted on 12/11/17 at 5:04 pm to David Ricky
(no message)
This post was edited on 12/14/17 at 8:08 pm
Posted on 12/11/17 at 5:08 pm to logjamming
quote:
Yeah! In addition to destroying a man’s career, likely preventing him from ever getting a head coaching gig again, and dragging his name through the mud based on hearsay, which was never substantiated by state or federal authorities, or by a third party investigator, Tennessee gets to skate on holding up their end of the bargain, screwing him out of millions. Lmao!!
Posted on 12/11/17 at 5:08 pm to logjamming
"Yeah, we fricked you over, but checkout this technicality that will prevent us from having to lose a dime."
Absolutely shocked that Tennessee had a hard time finding someone who wanted to take the job. Shocked.
Absolutely shocked that Tennessee had a hard time finding someone who wanted to take the job. Shocked.
Posted on 12/11/17 at 5:10 pm to David Ricky
So you aren't just pricks.......you are cheap, lying, cheating pricks?
Posted on 12/11/17 at 5:11 pm to grey
Considering we are now in a much better position than we would’ve been w/ Currie and Schiano, I don’t think your statement is true.
Maybe Schiano will think twice next time he gazes upon adolescent sodomy.
Maybe Schiano will think twice next time he gazes upon adolescent sodomy.
Posted on 12/11/17 at 5:19 pm to David Ricky
quote:
Darren Rovell @darrenrovell Here's the memorandum of understanding between Greg Schiano and the University of Tennessee. School says it wasn't fully signed, so Schiano isn't owed anything. (Document from @knoxnews)
PWNT
Posted on 12/11/17 at 5:25 pm to David Ricky
What is VOL twitter's record at this point?
-Schiano: W
-Doeren: W
-Curry: W
-Haslams: W
-Kirk Herbstreit: W
-Keaton's bullies: W
Off-season twitter champs.
-Schiano: W
-Doeren: W
-Curry: W
-Haslams: W
-Kirk Herbstreit: W
-Keaton's bullies: W
Off-season twitter champs.
This post was edited on 12/11/17 at 5:36 pm
Posted on 12/11/17 at 5:29 pm to momentoftruth87
Would be kinda funny if a woman came out with sexual harassment charges against Mr Potato Head about now. 
Posted on 12/11/17 at 7:20 pm to David Ricky
Really love how Currie signed, but did not date, as if he got the phone call to fricking stop halfway through
This post was edited on 12/11/17 at 7:29 pm
Posted on 12/11/17 at 7:27 pm to David Ricky
Tennessee's karma kickback is going to be large ... as large as Phat Phil.
I don't know jack squat about Shiano but this one smells bad for Tennessee. Bad business.
I don't know jack squat about Shiano but this one smells bad for Tennessee. Bad business.
Posted on 12/11/17 at 7:39 pm to scrooster
They’re going to owe Currie a wad of bills.
Posted on 12/11/17 at 7:42 pm to David Ricky
If currie has no signing authority, why does he even have a place for his signature? To waste everyone's time?
Posted on 12/11/17 at 7:45 pm to scrooster
Wow, I can’t IMAGINE what karma VOLS will face after this. Bet it’ll be so much worse than what they’ve already endured since the turn of the century
This post was edited on 12/11/17 at 7:45 pm
Posted on 12/11/17 at 7:53 pm to the808bass
quote:
They’re going to owe Schiano a wad of bills.
- tRant two weeks ago
Popular
Back to top


25








